颜料生产企业的生产废水多含铅、铬重金属等有毒物质,一直没有得到妥善处理和回收利用,这样既造成了资源浪费,又污染了环境。因此,笔者对颜料废水治理关注的重点不仅仅是解毒、达标排放问题,而是资源的回收利用,防止一切可能的污染发生,达到经济效益、环境效益和社会效益的和谐统一。
某化工厂在2005年试生产期问采用了环境影响评价中推荐的【污水处理设备】“硫酸亚铁还原法”治理铅、铬废水,运行一段时间后却产生了不经济、操作性差的实际问题而没有连续使用,2006年该厂技术人员采用铅铬黄生产工艺对铅、铬废水进行回收治理,不仅治理了重金属污染,同时把铅、铬回收制成了低档颜料出售,取得了良好的经济效益和社会效益。
治理工艺原理污水
采用硫酸亚铁还原废水中的6价铬,并用石灰中和,形成难溶于水的氢氧化铬。利用硫酸亚铁在酸性条件下,将6价铬还原成3价铬,在一定温度和碱度条件下,产生氧化铁和氧化铬共沉淀,利用压滤机对废渣进行分离,达到废水治理的目的。硫酸亚铁法治理工艺流程见图1。
工艺流程
废水进入预混池,在预混池中加入硫酸亚铁,Fe2+还原Cr6+形成Cr3+,经过反应后,在废水中加入石灰石,形成Cr(OH)3、Fe(OH)3、Pb(OH)2沉淀。其中Fe(OH)3形成胶体,吸附水中的阳离子,形成沉淀。经过沉淀池沉淀后排放废水。
技术经济评价
效果稳定可靠,排放水Cr6+≤0.5mg/L,总铅≤1.0mg/L,总铬≤1.5ms/L;对于各种不同浓度的含铬废水均适应;装置及工艺较简单,对水质无特殊要求不需预处理;采用空气搅拌可使沉淀转变为铁氧体结构,易于过滤分离。
问题分析
该工艺比较终产生大量含Cr6+、Pb2+的污泥产生量约0.5t/年,其主要成分为Pb(OH)2、Cr(OH)3和Fe(OH)3,都属于危险废物,不可做焚烧处理,只能做安全填埋。因此,这种处理方法对某些企业来讲可操作性不高,经济性差,若处理不当,容易产生二次污染。
废水处理改进工艺的分析
鉴于上述废水处理中的实际问题,该公司进行废水治理工艺改造,采用Al2(SO4)3硝酸、烧碱和硝酸铅溶液等铅铬黄生产原辅材料作为药剂来治理污水中的总铅、总铬和Cr6+超标问题。
1 废水处理工艺
原理与铅铬黄生产工艺基本相同,针对铅或铬过量问题分别加入碳酸钠或硫酸铝溶液,使铅离子转化成硫酸铅沉淀,铬离子生成铬酸铅沉淀。分离后得到的硫酸铅和铬酸铅混合物作为铅铬黄低等颜料出售。不仅治理了废水污染,还实现了固废零排放。
2 污水治理设备见表1。
3 废水治理工艺流程
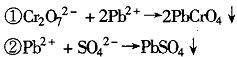
铅铬黄生产废水经管道收集一并送到污水收集罐,先由清水泵把废水抽到800型箱式压滤机进行过滤,然后由试管滴定查验废水的pH值,通过加入硝酸或片碱以调节废水pH值为7左右,再根据水中铅离子或铬离子超标情况分别添加硝酸铅或硫酸铝溶液使铅离子或铬离子形成沉淀析出。为了去除污水中多余的铅离子,需加入一定量的Al2(SO4)3溶液,使得铅离子转化为PbSO4沉淀;若去除过量铬离子可加入硝酸铅溶液,反应生成铬酸铅。主要反应式为:
废水经沉淀后再经清水泵抽到1000型箱式压滤机进行第2次过滤。过滤后废水收集到排放池,此时水池的水质基本可达标排放;如果检测还达不到标准要求,在排放池底部设有自吸泵可以把不合格水再抽到废水收集罐进行再次治理,比较终使污水达标排放(图2)。
硫酸铅和铬酸铅经过滤析出后,分散包膜、压滤、烘干等工序处理可制得低等颜料作为副产品出售,这样废水治理,既保护环境又带来了经济效益,一举两得。
4 治理工艺技术可行性分析
由该公司技术员提供的污水治理资料可知,铅铬黄车间废水包括两部分:①铅铬黄冲洗废水水量为31.5m3/d;②冲洗地面水和车间洗手水5.0m3/d,共计36.5m3/d;污水中铅过量机会较多,约占污水总量的70%,铬过量机会占30%。
由于该污水处理装置采用无机反应去除金属离子,因此,出水中金属离子的浓度只受到生成物溶解度的影响,与进水水质无关。硫酸铅、铬酸铅在水中不同温度下的溶解度见表2。
(1)铅过量情况。污水中总铅浓度为1.500mg/L,总铅量为16.970kg/年,和硫酸铝反应生成硫酸铅24.840kg/年。硫酸铅在40℃下的溶解度比较大,取值为0.056kg,由此可计算出废水中的总铅浓度为0.018mg/L,远远小于《污水综合排放标准)(GB8978.1996)第1类污染物比较高允许排放浓度表1中的限值,因此,污水中总铅污染的治理能够达标。
(2)铬过量情况。污水中总铬浓度为2.100mg/L,Cr6+浓度为0.600mg/L,由此计算出污水中总铬量为23.760kg/年,Cr6+为6.790kg/年,和硝酸铅反应可生成铬酸铅21.960k年。铬酸铅在20℃下的溶解度为0.070kg,其他温度下不溶解,由此可计算得出20℃下废水中铬浓度为4.160×10-8mg/L。可见,加入硝酸铅可以使溶液中的Cr6+几乎沉淀完全。因此污水中Cr6+浓度也符合《污水综合排放标(GB897~1996)第i类污染物比较高允许排放浓度6价铬0.500mg/L、总铬1.500mg/L的限值要求。
5 污水治理实际效果
2007年1月某环境监测站对该企业污水处理站排水口进行了水质监测,监测项目为6价铬、pH、总铬和CODCr4项,具体监测数据及评价结果见表3。

对污水监测水质采用单因子污染指数法进行评价,结果见表3。由表3可以看出,该企业污水治理后6价铬0.361mg/L、pH值6.24、总铬0.963mg/L和CODCr67.200mg/L,各体系尚未形成。21世纪经济发展的主旋律是绿色经济,绿色产品、绿色生产、绿色消费、绿色市场、绿色产业是绿色经济的重要特征,也是生态环境可持续发展对经济生活的具体要求。通过绿色经济意识的强化,以期进一步完善西田各庄镇产业一体化绿色营销体系。
本文版权归北京中天恒远环保设备有限公司所有,主要从事污水处理设备、水处理设备生产及污水处理技术专项工作等,转载请注明http://www.ztscl.com.cn出处。





