CAS No. 6419-19-8
别名:氨基三亚甲基膦酸、ATMPA、次氮基三亚甲基三膦酸、次氮基三亚甲基磷酸
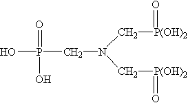
分子式 N(CH2PO3H2)3 相对分子质量:299.05
结构式

,性能与用途:
ATMP具有良好的螯合、低限抑制及晶格畸变作用。可阻止水中成垢盐类形成水垢,特别是碳酸钙垢的形成。ATMP在水中化学性质稳定,不易水解。在水中浓度较高时,有良好的缓蚀效果。
ATMP用于火力发电厂、炼油厂的循环冷却水、油田回注水系统。可以起到减少金属设备或管路腐蚀和结垢的作用。ATMP在纺织印染等行业用作金属离子螯合剂,也可用于金属表面处理剂等。
ATMP固体为结晶性粉末,易溶于水,易吸潮,易于运输和使用,尤其适用于冬季严寒地区。
第二,技术指标

第三,使用方法
ATMP常与其它有机膦酸、聚羧酸或盐等复配成有机水处理剂,用于各种不同水质条件下的循环冷却水系统。用量以1~20mg/L为佳;作缓蚀剂使用时,用量为20~60mg/L。
第四,包装与贮存
ATMP液体用塑料桶包装,每桶30kg或250kg;ATMP固体用内衬聚乙烯袋的塑料编织袋包装,每袋净重25kg,也可根据用户需要确定。贮于室内阴凉通风处,防潮、严防曝晒,贮存期十个月。
第五,安全防护
ATMP为酸性,操作时注意劳动保护,应避免与皮肤、眼睛等接触,接触后应立即用大量清水冲洗。





