如何处理果胶废水?中天恒远小编李德馨为您介绍,希望对您有所帮助。
果胶主要是由α-1,4-糖苷键联结而成的半乳糖醛酸与鼠李糖、 阿拉伯糖和其他中性糖相联结的聚合物[1],此外还含有一些非糖成分如甲醇、 乙酸和阿魏酸. 目前,关于果胶废水处理的方法主要包括复合絮凝剂处理、 混凝-吸附法处理、 果胶酶处理、 生物接触氧化法处理. 利用复合絮凝剂和混凝-吸附法处理果胶废水是比较快捷的去除果胶的方法,通过絮凝剂与果胶分子形成絮体而去除果胶,但容易产生二次污染,且后续脱色程序较繁琐.果胶酶处理果胶废水可以达到很好的效果,但处理费用过高. 生物接触氧化法处理果胶废水时,由于果胶具有较强的黏附能力,系统中的微生物会因果胶的包裹作用而失去活性,导致处理效率不高.果胶相对分子质量在1万~40万之间.由于果胶具有良好的胶凝和增稠作用[2],在实际废水处理工程中,果胶往往会堵塞污水管道,影响处理设施的正常运行,降低处理效率.
与上述处理方法相比,厌氧生物法[3, 4]具有运营成本低[5]、 产泥量少[6, 7]、 处理负荷高[8]、 能耗低[9]的优点,并可以回收甲烷能源[10].基于此,本研究采用驯化污泥降解果胶废水,考察了果胶浓度、 温度等因素对厌氧去除果胶和COD的影响,并利用GC-MS对产物进行了分析,探究了果胶的降解途径,以期为果胶废水的实际处理工程提供参考.
1 材料与方法
1.1 接种污泥
接种污泥取自长沙市第二污水处理厂的剩余污泥.污泥粒径为0.2~0.8 mm,污泥的MLSS为17.8~18.5 g ·L-1,MLVSS为12.4~13.8 g ·L-1.
1.2 实验装置
厌氧发酵罐14个,其中1个大的发酵罐用于污泥的储备与驯化,其余13个用于降解实验.实验工艺流程如图 1所示.

图 1实验装置及工艺流程示意
1.3 实验方法
1.3.1 污泥驯化
污泥的接种与驯化均在大发酵罐(2?000 mL)中进行,接种污泥先在培养基中培养1周,以维持良好的生物活性,此污泥作为初始污泥(即未驯化污泥).培养基成分[11]:COD(葡萄糖)2?000 mg ·L-1,NH4Cl 250 mg ·L-1,NaHCO3 600 mg ·L-1,KH2PO4 50 mg ·L-1,K2HPO4 50 mg ·L-1,CaCl2 50 mg ·L-1,NaCl 10 mg ·L-1,CoCl2 ·6H2O 5 mg ·L-1, FeCl3 25 mg ·L-1,MnCl2 ·4H2O 5 ?mg ·L-1?,AlCl3 32 mg ·L-1,H3BO4 5 mg ·L-1,ZnCl2 5 mg ·L-1.
采用人工配水对上述污泥进行驯化, 配水COD为3?000 mg ·L-1左右,接种污泥在以葡萄糖为唯一碳源的培养基中培养13 d后,逐步添加果胶进行驯化,添加量分别为:葡萄糖2?500 mg ·L-1+果胶500 mg ·L-1,7 d; 葡萄糖2?000 mg ·L-1+果胶1?000 mg ·L-1,6 d; 葡萄糖1?500 mg ·L-1+果胶1?500 mg ·L-1,8 d; 葡萄糖1?000 mg ·L-1+果胶2?000 mg ·L-1,7 d; 葡萄糖500 mg ·L-1+果胶2?500 mg ·L-1,7 d; 果胶3?000 mg ·L-1,7 d; 当果胶与COD去除率达到90%以上时,说明驯化成功.
1.3.2 果胶浓度对厌氧去除果胶和COD的影响
将600 mL果胶废水添加至小发酵罐(1?000 mL),接种上述驯化污泥,发酵罐中t=35℃、 pH为7.0左右、 VSS为10 g ·L-1. 接种后反应器用氮气吹5 min,以驱除发酵罐中的空气,然后置于恒温水浴中培养.
1.3.3 温度对厌氧去除果胶和COD的影响
将600 mL果胶废水添加至小发酵罐(1?000 mL),接种上述驯化污泥,发酵罐中果胶浓度为3?500 mg ·L-1、 pH为7.0左右、 VSS为10 g ·L-1. 接种后反应器的密闭性处理如1.3.2节所述,然后分别置于不同温度下培养.
1.3.4 厌氧中间产物分析
取10 mL水样在3?000 r ·min-1下离心10 min.然后移取2.0 mL上清液于分液漏斗中,加5 mL乙醚,振荡4 min,静置分层,取出上层有机相,同上步骤,重复3次,收集有机相.有机相加入无水硫酸钠脱水,然后再置于K-D浓缩器中浓缩至约1.5 mL,供GC-MS分析进样.
1.4 分析项目及方法
COD:重铬酸钾滴定法; 挥发性脂肪酸(VFA):滴定法; MLSS:重量法; MLVSS:重量法[12]; 果胶:分光光度法;
中间产物采用日本岛津公司生产的GCMS-QP2010SE进行GC-MS分析[13].色谱柱:HP5石英毛细管柱(30 m×0.25 mm i.d×0.25 μm); 载气为高纯He,流量为50 mL · min-1; 进样口温度为250℃,柱温为40℃,保持2 min后,以10℃ · min-1的速度升至240℃,保持10 min,然后以10℃ ·min-1的速度升温至280℃,保持10 min; 进样方式为自动进样,进样量为0.2 μL; 质量扫描范围:45~700 u; 电子轰击能量为70 eV,倍增电压为2?000 V,离子源温度为200℃.
2 结果与讨论
2.1 厌氧污泥驯化
采用人工配制的废水对厌氧污泥进行驯化[14],驯化时间为55 d.驯化初期,由于微生物对果胶废水没有完全适应,导致了初期果胶和COD去除率分别只有74.7%和39.8%.随着驯化的进行,果胶和COD去除率逐步提高.由图 2可见,驯化过程中,果胶的添加量对驯化系统的稳定性有一定影响,由于污泥中的微生物对果胶存在一个适应期,当废水中果胶浓度突然变化时,系统对COD的去除率有不同程度的降低.例如:驯化时间为20 d时,果胶浓度从500 mg ·L-1上升到1?000 mg ·L-1,COD去除率从64.8%下降到36.4%,随着驯化时间的延长,即21~26 d,由于微生物对果胶浓度的适应及其自身利用果胶生长繁殖,COD去除率逐渐增加并稳定于70%.驯化前41 d,COD去除率为65%~85%,41~55 d,系统对COD的去除率稳定在90%以上,说明驯化后的污泥具有较高活性. 55 d后,系统对果胶和COD的去除率均趋于稳定,认为厌氧污泥驯化成功.

图 2驯化期果胶浓度对系统去除率的影响
2.2 驯化污泥与初始污泥(未驯化污泥)对果胶降解的比较
分别选取初始浓度相同的驯化污泥和初始污泥,在相同条件下对果胶进行降解,两种污泥对果胶的降解效果见图 3.

图 3驯化污泥与未驯化污泥对果胶降解效果的比较
从图 3可以看出,驯化污泥和初始污泥对果胶降解情况不同.初始污泥在前24 h内对果胶降解速度较快,达到30.9 mg ·(L ·h)-1,这是由于厌氧污泥多孔性的物理结构使其具有较强的吸附能力,能够吸附废水中部分有机物.这种吸附包括物理吸附和生物吸附,以物理吸附为主,并能达到吸附平衡[15].24~144 h,果胶浓度缓慢减少,这可能是因为果胶中含有的部分半乳糖醛酸甲酯水解了[16].驯化污泥对果胶的降解则集中在前36 h,降解速率达到63.9 mg ·(L ·h)-1, 36 h后果胶浓度基本上不发生变化.从降解速率来看,驯化污泥对果胶的降解更快,这主要是由于驯化污泥中含有较多能降解果胶的微生物.从去除率来看,在120 h内,驯化污泥比初始污泥提高了59.2%,可见驯化污泥对果胶的降解能力更强.
2.3 果胶浓度对厌氧降解果胶废水的影响
从图4(a)可以看出,厌氧驯化污泥能够降解浓度大于4?500 mg ·L-1的果胶废水. 反应初期,各浓度下的降解速率均较快,降解曲线斜率很大,随着降解时间的延长,降解速率逐渐下降,比较终接近于0.在果胶浓度为100、 500、 1?000、 2?500、 3?000、 4?500 mg ·L-1时,厌氧降解果胶的平均速率分别为4.5、 23.1、 29.3、 49.8、 64.5和74.0 mg ·(L ·h)-1.由此可见,随着进水果胶浓度的上升,厌氧降解速率逐步提高.从图4(a)还可以看出,当进水果胶浓度为100 mg ·L-1时,厌氧降解速率缓慢,厌氧降解24 h后,废水中果胶残留量为52.3 mg ·L-1.这主要是由于在低浓度碳源环境下,微生物新陈代谢活动减弱,从而影响了酸化水解菌将果胶转化为中间产物的能力.由厌氧消化四阶段理论可知,酸化水解阶段大分子的有机物在细菌胞外酶的作用下分解成小分子有机物,有机物只是在形式和质上发生了变化,而在数量上变化较小[17].因此废水中果胶和COD的去除不能同时完成,为了进一步了解废水中中间产物的转化情况,实验分别考察了上述不同果胶浓度条件下,废水中COD的变化情况,结果见图4(b).

图 4不同进水浓度下果胶和COD的厌氧降解曲线
从图4(b)可以看出,24 h内COD降解速率较快,24~144 h降解速率逐步下降,144 h后COD基本上保持不变.144 h内,在果胶浓度为100、 500、 1?000、 2?500、 3?000、 4?500 mg ·L-1时,厌氧污泥对COD的去除率分别为41.6%、 82.0%、 93.1%、 96.1%、 94.1%、 91.7%.在果胶浓度为1?000~4?500 mg ·L-1时,系统对COD的去除率维持在91%以上.当果胶浓度为100 mg ·L-1、 500 mg ·L-1时,去除率却相对较低.这主要是由于低浓度的果胶进水不能满足微生物对营养的需求,导致微生物繁殖和新陈代谢活动均受到抑制,因而不利于果胶废水的厌氧生物处理.
综上所述,进水果胶浓度对厌氧降解果胶废水中的果胶和COD的影响大致相同.在进水果胶浓度为100~500 mg ·L-1时,厌氧系统对果胶和COD的去除率分别为93.1%~98.3%、 41.6%~82.0%.而在进水果胶浓度为1?000~4?500 mg ·L-1时,厌氧系统对果胶和COD的去除率分别为98.9%~99.6%、 91.7%~96.1%,这与前者相比,果胶和COD的平均去除率分别提高了3.6%、 32.0%.当进水果胶浓度从1?000 mg ·L-1提高到4?500 mg ·L-1时,系统对果胶和COD的去除率影响均较小.因此,驯化污泥适宜处理果胶浓度大于1?000 mg ·L-1的废水.
2.4 温度对厌氧降解果胶废水的影响
温度是影响厌氧消化的重要因素之一,在仅以温度为变量的条件下分别进行了厌氧污泥对果胶废水的降解实验,降解曲线如图5所示.

图 5不同温度下果胶和COD的厌氧降解曲线
从图5(a)可以看出,温度较低时,厌氧降解果胶速率较慢.温度为5℃和15℃时,在144 h内,厌氧污泥对果胶的降解不能达到稳定,出水中果胶浓度为428.9~2?589.6 mg ·L-1.温度为25℃和35℃时,厌氧降解果胶分别可以在60 h和108 h达到稳定,并且出水中检测到的果胶浓度在70 mg ·L-1以下.当温度上升到45℃和55℃时,厌氧污泥降解果胶在开始的36 h内就可以达到平衡,出水果胶浓度为65.5~73.8 mg ·L-1.驯化污泥降解果胶达到稳定时,当降解温度分别为5、 15、 25、 35、 45、 55℃时,果胶的平均降解速度分别为5.3、 20.3、 28.1、 56.1、 92.6和93.6 mg ·(L ·h)-1.上述结果表明,在5~45℃厌氧污泥对果胶的降解能力随着温度的升高而提高,当温度高于45℃时,厌氧污泥对果胶的降解速率变化很小.这与Ahring等[18]得出的结论相似: 不同底物的厌氧消化在其比较优范围内对有机物的去除率随温度的升高而增加,超出比较适温度,去除率不随温度升高反而下降.这主要是由于温度升高时,一方面厌氧污泥吸附果胶分子的速率增大,另一方面温度较高时,酸化水解菌中酶的活性会受到影响.总体来说,45~55℃时处理效果达到比较优.
由图5(b)可以看出,144 h时,各温度下对COD的去除率大小表现为:35℃>25℃>45℃>15℃>55℃>5℃.在5~35℃,厌氧污泥对果胶废水中COD的降解能力随着温度的升高而提高,当温度高于35℃时,厌氧污泥对果胶废水中COD的降解能力逐渐变小.这说明在厌氧降解果胶废水过程中,产甲烷菌的比较适温度为35℃.温度太低时,抑制微生物的生长与酶的活性,从而影响COD的去除. 温度过高(>35℃)则会使得产甲烷菌体内酶发生不可逆转的破环,从而导致COD去除率大幅度下降.
综上所述,厌氧污泥在不同温度下降解果胶废水时,酸化水解菌和产甲烷菌不能同时达到比较优去除效果.综合考虑果胶和COD的降解情况,当温度为25~45℃时,厌氧污泥对果胶废水具有较好处理效果.
3 果胶的厌氧降解方式
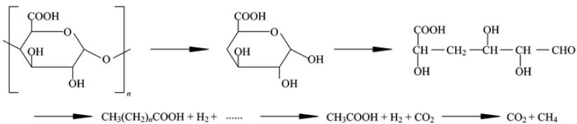
采用气相色谱-质谱联用仪(GC-MS)对果胶厌氧降解的中间产物进行了分析,结果如表1所示,检出中间产物中的主要有机物是乙酸、 丙酸、 低级酯、 烷基醇(C12~C40).

表1 果胶厌氧降解中间产物中的主要有机物
推测果胶的厌氧降解途径[19]如图 6.

图 6果胶的厌氧降解过程
果胶分子中的单体半乳糖醛酸中的C—O—C键首先断裂,果胶分子聚合度下降,然后低聚合度的中间体近一步降解生成挥发性酸、 H2等,比较后被彻底分解成CH4和CO2.具体参见污水宝商城资料或http://www.dowater.com更多相关技术文档。
4 结论
(1)厌氧污泥经过55 d驯化,对3?000 mg ·L-1果胶废水的果胶和COD去除率均稳定在90%以上,与未驯化厌氧污泥处理果胶废水相比,驯化后的污泥对果胶去除率提高了59.2%.
(2)驯化污泥能够降解初始浓度大于4?500 mg ·L-1的果胶废水.果胶浓度越高,降解速率越快. 果胶浓度为100和500 mg ·L-1时,果胶降解速率分别为4.5和23.1 mg ·(L ·h)-1,而浓度为2?500和4?500 mg ·L-1的果胶废水,降解速率分别为49.8和74.0 mg ·(L ·h)-1.果胶初始浓度低于500 mg ·L-1,COD去除率较低,仅为41.6%~82.0%.果胶初始浓度高于1?000 mg ·L-1,COD去除率稳定在91%以上.
(3)温度越高,降解果胶所需的时间越短. 5℃时,降解144 h后,出水果胶浓度为2?589.6 mg ·L-1,而温度为55℃时仅需36 h,出水果胶浓度可在80 mg ·L-1以下. 随着温度在5~35℃范围内变化,厌氧污泥对果胶废水中COD的去除率从38.6%逐渐增加到91.5%,当温度高于35℃时,厌氧污泥对果胶废水中COD的去除率逐渐降低.
(4)果胶可能的厌氧降解途径为:果胶分子中的单体半乳糖醛酸中的C—O—C键首先断裂,然后低聚合度的中间体进一步降解生成挥发性酸、 H2等,比较后被彻底分解成CH4和CO2。
中天恒远厂家直销!优惠的价格!周到的服务!
产品咨询电话:010-8022-5898
您也可以直接咨询网站在线客服人员





